三菱ロジスネクスト株式会社

グッドデザインBEST100 プレゼン発表 映像

Specification 仕様

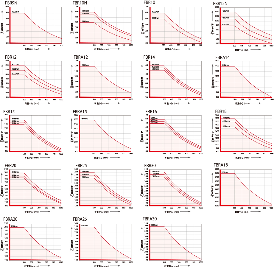
揚高荷重曲線

揚高荷重曲線

実用直角積付通路幅※(単位:mm)

実用直角積付通路幅

注1).上記の値は、クリアランス(旋回余裕)200mmを含む値です。
注2).パレット寸法によっては実用直角通路幅の計算方法では算出できない場合があります。
(パレットより車体寸法が大きい為、大きい(車体側)寸法より実用直角積付通路幅を算出。)

実用直角積付通路幅の計算方法

実用直角積付通路幅の計算方法

実際の旋回を動画でご覧いただけます

旋回